عکس رهبر جدید
۰
سبد خرید شما خالی است.

روش‌های تثبیت کربین دی اکسید در اتوتروف‌ها

  فایلهای مرتبط
تثبیت CO۲ و تولید مواد آلی توسط جانداران اتوتروف برای حیاتِ کره زمین مهم و حیاتی است؛ زیرا مواد آلی مورد نیاز جانداران هتروتروف را تأمین ‌می‌کند. تاکنون شش روش مختلف برای تثبیت CO۲ در اتوتروف‌ها شناسایی شده است که طی آن‌ها سالانه بالغ بر ۲۰۰ میلیارد تن کربن‌دی‌اکسید، تثبیت ‌می‌شود. تثبیت ‌کربن‌دی‌اکسید واکنشی انرژی‌خواه است و به منبع انرژی و هم‌چنین ترکیبات احیاکننده برای تأمین الکترون نیاز دارد. الکترون‌های مورد نیاز توسط مولکول‌هایی همچون فردوکسین احیاشده، NADH و NADPH و انرژی به‌طور مستقیم توسط ATP تأمین ‌می‌شود. البته، منبع اولیه انرژی نور گوگرد و یا هیدروژن است. با توجه به وجود آنزیم‌ها، کوآنزیم‌ها و متابولیت‌های متعدد در مسیرهای تثبیت CO۲، در ادامه سعی ‌می‌کنیم بدون پرداختن به جزئیات این روش‌های طبیعی تثبیت CO۲ را معرفی کنیم.

چرخه کالوین‌ـ بنسون‌ـ باشام۱ یاچرخه پنتوز فسفات احیایی
این چرخه مهم‌ترین و پرکاربردترین مسیر تثبیت CO۲ است که در یوکاریوت‌های اتوتروف، سیانوباکتری‌ها، بسیاری از پروتئوباکتری‌های هوازی یا هوازی اختیاریِ متعلق به زیرگروه‌های آلفا، بتا و گاما، برخی مایکوباکتری‌ها و برخی باکتری‌های غیرگوگردی سبز وجود دارد. واکنش‌های آنزیمی چرخه کالوین در یوکاریوت‌های اتوتروف در بستره کلروپلاست و در سیانوباکتری، برخی باکتری‌های شوره‌گذار و تیوباسیل‌ها در ساختارهایی چندوجهی موسوم به کربوکسی زوم۲ انجام ‌می‌شوند. در چرخه کالوین به ازای تثبیت هر سه مولکول CO۲، یک مولکول گلیسرآلدهید ۳ـ فسفات تولید ‌می‌شود. طی این واکنش‌ها برای تثبیت هر مولکول CO۲، سه مولکول ATP و دو مولکول NADPH مصرف ‌می‌شود (شکل ۱).



چرخه کالوین‌ یا چرخه پنتوز فسفات احیایی
شکل ۱. چرخه کالوین‌ یا چرخه پنتوز فسفات احیایی 

آنزیم تثبیت‌کننده و کلیدی ‌چرخه کالوین، ریبولوز بیس فسفات کربوکسیلازـ  اکسیژناز (روبیسکو۳) نام دارد. سرعت انجام واکنش کربوکسیلازی این آنزیم پایین است به‌طوری‌که در هر ثانیه بین ۱ تا ۱۰ مولکول ‌کربن‌دی‌اکسید را تثبیت ‌می‌کند. بنابراین، برای رسیدن به سرعت واکنش بالا، به مقدار زیادی از این پروتئین نیاز هست. به همین علت، بین۳۰ تا۵۰ درصد پروتئین‌های محلول برگ را تشکیل ‌می‌دهد و تخمین زده شده است که به ازای هر نفر روی کره زمین، ۵ کیلوگرم از این آنزیم در طبیعت وجود داشته باشد. بیش از ۹۰ درصدِ کربن معدنی که به زیست‌توده۴ تبدیل ‌می‌شود، توسط آنزیم روبیسکو تثبیت ‌می‌شود.

تاکنون چهار نوع آنزیم روبیسکو شناسایی شده است که از نظر تمایل به اکسیژن، سرعت واکنش کربوکسیلازی و ساختار با هم تفاوت دارند؛ مثلاً، نوع ۱ که در گیاهان، جلبک‌ها و سیانوباکتری یافت ‌می‌شود، دارای هشت زیرواحد بزرگ و هشت زیرواحد کوچک (L۸S۸) است؛ درحالی‌که نوع ۲ فقط از دو زیرواحد بزرگ (L۲) تشکیل شده است.

در فتوسنتزکنندگان C۴ و CAM که تثبیت اولیه ‌کربن‌دی‌اکسید قبل از ‌چرخه کالوین انجام ‌می‌گیرد، آنزیم تثبیت‌کننده اولیه، فسفوانول پیرووات کربوکسیلاز (PEPCase) نام دارد که به‌جای CO۲ از HCO۳ استفاده ‌می‌کند و فعالیت اکسیژنازی ندارد.

 

چرخه آرنون‌ـ بوکانان۵ یا ‌چرخه سیتریک‌اسید احیایی
چرخه سیتریک‌اسید احیایی درواقع در جهت مخالف یا معکوس ‌چرخه کربس انجام ‌می‌گیرد. البته با توجه به برگشت‌ناپذیر بودن برخی از واکنش‌های ‌چرخه کربس، این واکنش‌ها با آنزیم‌های دیگری در جهت معکوس پیش برده ‌می‌شوند. این روش تثبیت CO۲ در باکتری‌های گوگردی سبز، پروتئوباکتری‌ها به‌ویژه زیرگروه‌های دلتا و اپسیلون، نیتروسپیرا۶ و هیدروژنوباکتر ترموفیلوس (نوعی باکتری اکسیدکننده هیدروژن) دیده ‌می‌شود. در ‌چرخه سیتریک‌اسید احیایی به‌ازای تثبیت دو مولکول CO۲ یک مولکول استیل کوآنزیم A تولید ‌می‌شود. استیل کوآنزیم A حاصل شده برای سنتز مولکول‌های آلی دیگری همچون پیرووات، فسفوانول پیرووات و اگزالواستات مورد استفاده قرار ‌می‌گیرد (شکل ۲).

 


چرخه سیتریک‌ اسید احیایی
شکل ۲. چرخه سیتریک‌اسید احیایی
 

در این روشِ تثبیت CO۲، با توجه به تفاوت‌های جزئی که در باکتری‌های مختلف دیده ‌می‌شود  NADPH ،NADH و فردوکسین احیاشده (Fdred) به‌عنوان تأمین‌کننده الکترون عمل می‌کند و ATP تأمین‌کننده انرژی است. در ‌چرخه سیتریک‌اسید احیایی دو آنزیم تثبیت‌کننده ‌کربن‌دی‌اکسید وجود دارد: آلفاکتوگلوتارات سنتازِ وابسته به فردوکسین و ایزوسیترات دهیدروژناز.

 در مجموع طی ‌چرخه سیتریک‌اسید احیایی برای تثبیت هر مولکول CO۲، یک مولکول ATP و دو مولکول NADPH مصرف ‌می‌شود.

 

مسیر وودـ لیونگ دال۷ یا مسیر استیل کوآنزیم A احیایی
در این روش که به‌صورت خطی و غیر چرخه‌ای است، دو مولکول CO۲ به‌صورت یک مولکول استیل کوآنزیم A تثبیت ‌می‌شوند. این مسیر در برخی آرکی‌باکتری‌های متانوژن، باکتری‌های استوژن و باکتری‌های دیگری همچون برخی پلانکتومیست‌ها۸ و اسپیروکت‌ها۹ دیده ‌می‌شود. تاکنون چندین نوع مسیر استیل کوآنزیم A احیایی شناسایی شده است که از نظر نوع کوآنزیم و حامل‌های الکترونی با یکدیگر تفاوت دارند. در این مسیرها از آنزیم‌ها و کوآنزیم‌های غیرمعمولی همچون کربن‌مونوکسیددهیدروژناز۱۰، تتراهیدروپترین۱۱ (H۴PT)، تتراهیدروفولات۱۲ (THF)، متانوفوران۱۳ (MFR)، تتراهیدرومتانوپترین۱۴ (H۴MPT) و کوآنزیم ‌ F۴۲۰استفاده ‌می‌شود. در این مسیر، نسبت به سایر مسیرهای تثبیت CO۲، کمترین میزان مصرف انرژی دیده ‌می‌شود؛ به‌طوری که برای تثبیت هر دو مولکول CO۲ یک مولکول ATP و چهار مولکول NADPH مصرف ‌می‌شود (شکل ۳).


مسیر استیل کوآنزیم احیایی

شکل ۳. مسیر  مسیر استیل کوآنزیم احیایی در متانوژن‌ها.

باکتری‌های تستوژن از مسیری که کمی با مسیر فوق تفاوت دارد، برای تثبیت CO۲ و تولی استات استفاده می‌کنند.


در مسیر استیل کوآنزیم A احیایی ابتدا دو مولکول CO۲ با دو روش مختلف تثبیت و سپس برای تشکیل گروه استیل با هم ترکیب ‌می‌شوند. یک مولکول CO۲ به‌صورت گروه متیل، احیاشده و به کوآنزیم تتراهیدروپترین متصل ‌می‌گردد مولکول CO۲ دیگر به‌صورت کربن مونوکسید احیاشده و به نیکل در جایگاه فعال آنزیم کربن‌مونوکسید دهیدروژناز متصل ‌می‌شود. این آنزیم به‌صورت استیل کوآنزیم A سنتاز نیز عمل می‌کند و پس از گرفتن گروه متیل و ترکیب آن با CO، استیل کوآنزیم A تولید ‌می‌کند. در این مسیر، دو آنزیم فومارات دهیدروژناز و کربن‌مونوکسید دهیدروژناز آنزیم‌های تثبیت‌کننده CO۲ هستند.

 

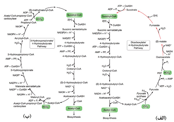
چرخه دی‌کربوکسیلات ۴ـ‌ هیدروکسی بوتیرات (‌چرخه DC/HB)۱۵
این چرخه در دو راسته ترموپروتئال۱۶ و دسولفوروکوکال۱۷ از گروه آرکی‌باکتری‌ها شناسایی شده است. طی این چرخه یک مولکول استیل کوآنزیم A از تثبیت یک مولکول CO۲ و یک مولکول HCO۳ ساخته ‌می‌شود. در ‌چرخه DC/HB دو آنزیم تثبیت‌کننده CO۲ وجود دارد: پیرووات سنتاز و فسفوانول پیرووات کربوکسیلاز (شکل ۴ الف). در این ‌چرخه، ۳ مولکول ATP (۵ پیوند پرانرژی، چون دو مولکول پیروفسفات آزاد ‌می‌شود) و ۴ مولکول NAD(P)H برای تولید استیل کوآنزیم A، مصرف ‌می‌شود.


چرخه دی‌کربوکسیلات ۴ـ‌ هیدروکسی بوتیرات
شکل ۴ الف. چرخه دی‌کربوکسیلات ۴ـ‌ هیدروکسی بوتیرات

ب. چرخه ۳- هیدروکسی پروپیونات ۴ـ‌ هیدروکسی بوتیرات


 

چرخه ۳ـ هیدروکسی پروپیونات۴ـ هیدروکسی بوتیرات۱۸ (‌چرخه HP/HB)
سولفولوبوس۱۹ که نوعی آرکی‌باکتری است از این ‌چرخه برای تثبیت CO۲ استفاده ‌می‌کند. این ‌چرخه شبیه به ‌چرخه دی‌کربوکسیلات ۴ـ هیدروکسی بوتیرات است و بخشی از مسیر تثبیت در هر دو یکسان است (شکل ۴ الف و ب). تفاوت از نظر نوع آنزیم کربوکسیله کننده است و اینکه در این ‌چرخه از دو مولکول HCO۳ برای تثبیت استفاده ‌می‌شود. طی ‌چرخه ۳ـ هیدروکسی پروپیونات ۴ـ هیدروکسی بوتیرات یک مولکول استیل کوآنزیم A از تثبیت دو اتم کربن (به‌صورت HCO۳) ساخته ‌می‌شود. در این چرخه دو آنزیم تثبیت‌کننده CO۲ وجود دارد: استیل کوآنزیم A کربوکسیلاز و پروپیونیل کوآنزیم A کروکسیلاز. در این چرخه برای تولید هر مولکول استیل کوآنزیم A، ۴ مولکول ATP (۶ پیوند پرانرژی) و ۴ مولکول NADPH مصرف ‌می‌شود.

 

چرخه فوکس‌ـ هولو۲۰ یا ‌چرخه ۳‌ـ هیدروکسی پروپیونات
این چرخه اولین بار در نوعی باکتری غیر گوگردی سبز (کلروفلکسوس اورانتیاکوس۲۱) شناسایی شد. گلی اوکسالات محصول ابتدایی فرایند تثبیت در این روش است؛ اما چون گلی اوکسالات واسطه کلیدی و مرکزی در مسیرهای متابولیسمی نیست توسط ‌چرخه دیگری به پیرووات تبدیل ‌می‌شود. بنابراین، ‌چرخه تثبیت هیدروکسی پروپیونات عملاً از دو چرخه مرتبط به هم تشکیل شده است؛ ‌چرخه اول سبب تولید گلی اکسالات و ‌چرخه دوم سبب تشکیل پیرووات ‌می‌شود. طی این دو چرخه، سه مولکول  HCO۳ به یک مولکول پیرووات تبدیل ‌می‌شود. این روش تثبیت، بسیار پیچیده است و برای تولید یک مولکول پیرووات، ۵ مولکول ATP (۷ پیوند پرانرژی) و ۵ مولکول NADPH مصرف ‌می‌شود.

در ‌چرخه هیدروکسی پروپیونات دو آنزیم تثبیت‌کننده CO۲ وجود دارد: استیل کوآنزیم A کربوکسیلاز که با کربوکسیله کردن استیل کوآنزیم A سبب تشکیل مالونیل کوآنزیم A ‌می‌شود و آنزیم پروپیونیل کوآنزیم A کربوکسیلاز که سبب تشکیل متیل مالونیل کوآنزیم A ‌می‌شود (شکل ۵)

 چرخه ۳ هیدروکسی پروپیوناتشکل ۵. چرخه ۳ هیدروکسی پروپیونات



مقایسه روش‌های مختلف تثبیت CO۲
در جدول زیر به‌صورت خلاصه تفاوت‌های مهم شش روش تثبیت CO۲ نشان داده شده است. در روش‌های مختلف تثبیت CO۲، تفاوت‌هایی از نظر منبع کربن معدنی (CO۲ یا HCO۳)، میزان انرژی مصرفی، نوع آنزیم‌های تثبیت‌کننده CO۲، ترکیب اولیه حاصل از تثبیت و نوع منبع انرژی دیده ‌می‌شود. در این میان، ‌چرخه کالوین مهم‌ترین و البته پرهزینه‌ترین مسیر تثبیت است. در ضمن در سه مسیر تثبیت (مسیر استیل کوآنزیم A احیایی، ‌چرخه سیتریک‌اسید احیایی و ‌چرخه دی‌کربوکسیلات ۴ ـ هیدروکسی بوتیرات) آنزیم‌های حساس به اکسیژن وجود دارد. بنابراین، در شرایط بدون اکسیژن یا کم اکسیژن انجام ‌می‌گیرند و درواقع مسیرهایی بی‌هوازی هستند.

لازم به ذکر است که برخی باکتری‌ها برای تولید مواد آلی ‌می‌توانند از دو روش مختلف تثبیت CO۲ استفاده کنند. به‌عنوان مثال، در نوعی گاماپروتئوباکتری همزیست، ‌چرخه کالوین و ‌چرخه سیتریک‌اسید احیایی وجود دارد و بسته به میزان انرژی سلول از یکی از این دو روش، برای تثبیت CO۲ استفاده ‌می‌کند؛ در این باکتری در موقعیت‌های پرانرژی ‌چرخه کالوین و در شرایط کم انرژی چرخه مقرون‌به‌صرفه سیتریک‌اسید احیایی مورد استفاده قرار ‌می‌گیرد.
  خلاصه ای از شش روش طبیعی تثبیت co2

طراحی، مهندسی و بهبود مسیرهای تثبیت CO۲
شناسایی و فهم دقیق مسیرهای طبیعی تثبیت، به محققان کمک ‌می‌کند تا با استفاده از تکنیک‌های مهندسی ژنتیک میزان و کارایی تثبیت
CO۲ را افزایش دهند. یکی از تحقیقات صورت گرفته امکان استفاده از انرژی الکتریسیته برای فرایند تثبیت بوده است. همان‌طور که قبلاً نیز اشاره شد، تثبیت CO۲ فرایندی انرژی‌خواه است و به ترکیبات احیاکننده به‌عنوان منبع الکترون نیز احتیاج دارد. در فتوسنتزکنندگان اکسیژن‌زا، الکترون‌های لازم از فتولیز آب تأمین ‌می‌شود و اکسیژن نیز آزاد ‌می‌شود؛ اما در برخی از روش‌های تثبیت CO۲، آنزیم‌های حساس به اکسیژن وجود دارد. بنابراین، در طبیعت از ترکیبات جایگزینی همچون گاز هیدروژن استفاده ‌می‌شود. استراتژی جدید محققان، شناسایی یا مهندسی اتوتروف‌هایی است که از الکتریسیته استفاده کنند و به‌طور مستقیم الکترون را از کاتد دریافت کنند و درواقع الکتروسنتز۲۲ انجام دهند. نوعی باکتری استوژن ‌می‌تواند به‌طور طبیعی الکترون را از کاتد جذب کند و برای تثبیت CO۲ مورد استفاده قرار دهد. مطالعات نیز نشان داده است که نوعی باکتری۲۳ مهندسی شده نیز برای تثبیت CO۲ و تولید ایزوبوتانل از الکتریسیته استفاده ‌می‌کند.

یکی دیگر از کارهای انجام گرفته، افزایش تراکم
CO۲ در محل فعالیت آنزیم روبیسکو است. ‌می‌دانیم که واکنش‌های تنفس نوری در کلروپلاست، پراکسی‌زوم و میتوکندری انجام ‌می‌گیرد. حاصل بخشی از واکنش‌های تنفس نوری در کلروپلاست، تولید گلیکولات است که در ادامه به پراکسی زوم منتقل ‌می‌شود و طی واکنش‌هایی در میتوکندری CO۲ از آن جدا ‌می‌شود. محققان سعی کرده‌اند که محل رهاسازی CO۲ را به کلروپلاست منتقل کنند تا از مصرف ATP و عوامل احیاکننده طی واکنش‌های تنفس نوری جلوگیری و امکان تثبیت سریع CO۲ توسط روبیسکو را فراهم کنند. بدین‌منظور سه ژن مسیر تجزیه گلیکولات را از باکتری اشریشیاکلای به کلروپلاست آرابیدپسیس منتقل کرده‌اند، این گیاهان تراریخته سریع‌تر رشد و قندهای محلول بیشتری تولید ‌می‌کنند. در مطالعه دیگری نیز با بیان بیش از حد سه آنزیم در استرومای کلروپلاست آرابیدوپسیس موجب شده‌اند که مولکول‌های گلیکولات طی واکنش‌هایی به دو مولکول CO۲ تبدیل و در ضمن NADH و NADPH نیز تولید شود.

از دیگر کارهای انجام گرفته ‌می‌توان به دست‌ورزی آنزیم روبیسکو به‌منظور افزایش فعالیت و تمایل آن به
CO۲ و هم‌چنین طراحی مسیرهای جدید تثبیت CO۲ با برنامه‌های رایانه‌ای اشاره کرد. در یک تحقیق جالب، انجام ‌چرخه کالوین و تولید قند توسط این چرخه در باکتری اشریشیاکلای امکان‌پذیر شده است. به‌طور طبیعی در این باکتری در مسیرهای پنتوز فسفات و گلوکونئوژنز همه آنزیم‌های لازم برای انجام ‌چرخه کالوین، به‌جز دو مورد آن‌ـ آنزیم‌های روبیسکو و فسفوریبولوکینازـ یافت ‌می‌شود. محققان ژن این دو آنزیم را به اشریشیاکلای منتقل کردند. باکتری‌های دست‌ورزی شده موفق شدند با انجام ‌چرخه کالوین، قند تولید کنند. البته در این باکتری ATP و NADPH لازم برای انجام ‌چرخه کالوین حاصل واکنش‌های متابولیسمی ‌درون خود باکتری است؛ چراکه واکنش‌های نوری فتوسنتزی در این باکتری انجام نگرفته است. در تحقیقی دیگر، با انتقال ژن‌های لازم، باکتری‌هایی طراحی کرده‌اند که ‌می‌توانند مولکول‌های کلروفیل را سنتز کنند. چنین تحقیقاتی امید به طراحی و انجام فتوسنتز در باکتری‌های هتروترفی همچون اشریشیاکلای را بیشتر کرده است.

 

پی‌نوشت‌ها

1. Calvin-Benson-Bassham cycle
2. Carboxysomes
3. RuBisCO
4. Biomass
5. Arnon-Buchanan cycle
6. Nitrospirae
7. Wood-Ljungdahl pathway
8. planctomycetes
9. spirochetes
10. CO dehydrogenase
11. tetrahydropterin (H4TPT)
12. tetrahydrofolate (THF)
13. methanofuran (MFR)
14. tetrahydromethanopterin (H4MPT)
15. Dicarboxylate/4-Hydroxybutyrate (DC/HB) Cycles
16. Thermoproteales
17. Desulfurococcales
18. 3-Hydroxypropionate/4-Hydroxybutyrate (HP/HB) Cycles
19. Sulfolobus
20. Fuchs-Holo (bi-) cycle
21. Chloroflexus aurantiacus
22. electrosynthesis
23. Ralstonia eutropha H16




منابع


1. Erb TJ, Zarzycki J. A short history of RubisCO: the rise and fall (?) of Nature's predominant 2CO fixing enzyme. Curr Opin Biotechnol. 2018 Feb; 49:100-107
2. Robert Tabita F. The hydroxypropionate pathway of 2CO fixation: Fait accompli. PNAS December 15, 2009 106 (50) 21015-21016
3. Berg Ivan A. Ecological Aspects of the Distribution of Different Autotrophic 2CO Fixation Pathways. Applied and Environmental Microbiology, Mar. 2011, p. 1925–1936
4. Ducat Daniel C, Silver Pamela A. Improving Carbon Fixation Pathways. Curr Opin Chem Biol. 2012 August; 16(3-4): 337–344.
5. Willey Joanne M, Sherwood Linda M, Woolverton Christopher J. Prescott’s microbiology. Tenth edition. Copyright by McGraw-Hill; 2017
6. Berg IA1, Ramos-Vera WH, Petri A, Huber H, Fuchs G. Study of the distribution of autotrophic 2CO fixation cycles in Crenarchaeota. Microbiology. 2010 Jan; 156(Pt 1):256-69.
7. Salimijazi F, Parra E, Barstow B. Electrical energy storage with engineered biological systems. J Biol Eng. 2019 May 3; 13:38.
8. Antonovsky, N. et al. Sugar Synthesis from 2CO in Escherichia coli. Cell. 2016 Jun 30; 166(1):115-25.
9. Herz, E. et al. The genetic basis for the adaptation of E. coli to sugar synthesis from 2CO. Nat Commun. 2017 Nov 22; 8(1):1705

10. Chen, E. et al. Complete enzyme set for chlorophyll biosynthesis in Escherichia coli. Science Advances. 2018:Vol. 4, no. 1, eaaq1407

۱۱. تایز لینکلن، زایگر ادوارد، مولر این ماکس، مورفی آنکوس (۲۰۱۵). فیزیولوژی و نمو گیاهی، ترجمه محمد کافی و همکاران، مشهد، انتشارات جهاد دانشگاهی مشهد ۱۳۹۴.

 


۹۰۷۴
کلیدواژه (keyword): تثبیت کربن دی‌ اکسید اتوتروف,چرخه,
نام را وارد کنید
ایمیل را وارد کنید
تعداد کاراکتر باقیمانده: 500
نظر خود را وارد کنید

۳۲۳ نفر
۳۱,۵۶۲,۰۱۰ نفر
۶,۸۷۰ نفر
۱۴,۰۱۲ نفر
۲۱,۶۹۸,۹۵۹ نفر