عکس رهبر جدید
۰
سبد خرید شما خالی است.

آزمایش بطری آبی

  فایلهای مرتبط
آزمایش بطری آبی
یکی از آزمایش‌های معروف در شروع تدریس شیمی آلی یا تدریس واکنش‌های برگشت‌پذیر، آزمایش نمایش بطری آبی‌رنگ است. به دلیل نیاز به مواد در مقدار بسیار کم و ساده و سریع بودن واکنش، این نمایش طرفداران زیادی دارد و در کتاب آزمایشگاه علوم یازدهم، در مجموعه آزمایش‌های مربی آورده شده است. در این مقاله به بررسی سازوکار واکنش‌های این آزمایش می‌پردازیم.

روش کار

ـ پیش از شروع کلاس، در یک ارلن 500 میلیلیتری، 100mL آب و یک قاشق چایخوری سدیم هیدروکسید یا پتاسیم هیدروکسید بریزید.

ـ یک قاشق غذاخوری گلوکوز به این محلول بیفزایید و آن را هم بزنید. توجه کنید که اگر از شکر استفاده شود، واکنش به خوبی انجام نمیگیرد و تغییر رنگ مشخصی دیده نمیشود.

ـ در پایان، دو یا سه قطره محلول متیلن بلو به مخلوط درون ارلن بیفزایید و ارلن را با خود به کلاس ببرید.

ـ رنگ آبی تیره نظر دانشآموزان را جلب میکند و کنجکاوی آنها را برمیانگیزد.

ـ دهانه ارلن را ببندید و آن را روی میز قرار دهید.

ـ پس از اعلام عنوان درس (گروههای عاملی در شیمی آلی)، توجه دانشآموزان را به رنگ ارلن جلب کنید که بیرنگ شده است.

ـ ارلن را تکان دهید. آبی تیره دوباره ظاهر میشود.

ـ با رسم ساختار گلوکوز و شکل اکسایش یافته آن، بدون توضیح در مورد جزئیات واکنش، گروههای عاملی را در آنها بررسی کنید.

ـ اجازه دهید دانشآموزان هم، رنگ آبی و بیرنگ شدن را در محلول ایجاد کنند.

این محلول را میتوانید برای چندین کلاس، حتی برای هفته بعد استفاده کنید.

 

آزمایش بطری آبی

 

سازوکار واکنش

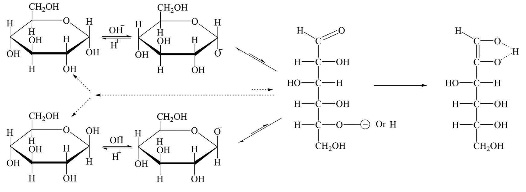
مقالههای زیادی تبدیل گلوکوز به شکل اسیدی آن، گلوکونیک اسید را مورد بررسی قرار دادهاند. بنا به دادهها، واکنش نسبت به اکسیژن، از مرتبه صفر برخوردار است ‍‍. ورینن1 توانست کاهش گلوکوز را با توجه به شکلهای انولی در محیط بازی توجیه کند:

 

آزمایش بطری آبی

 

بنا به این نظریه ـ که با بررسیهای لارن2 نیز تأیید میشود ـ واکنش با انولدار شدن گلوکوز و تبدیل شدن به یون آغاز میشود:

 

آزمایش بطری آبی

 

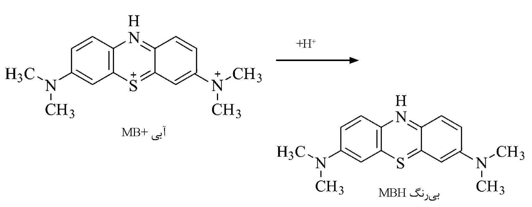
سپس متیلن بهعنوان مادهای کاهنده در محیط این واکنش، با گرفتن الکترون به متیلن سفید یا بیرنگ تبدیل میشود:

 

آزمایش بطری آبی

 

بیدرنگ مرحله دوم واکنش آغاز میشود و اکسیژن محلول در آب، متیلن سفید را دوباره اکسید، و به شکل آبیرنگ آن تبدیل میکند. اگر اکسیژن محلول تمام شود، رنگ محیط واکنش سفید (بیرنگ) باقی میماند مگر اینکه ظرف واکنش را هم بزنیم تا باز هم اکسیژن محلول تولید شود.

 

آزمایش بطری آبی

 

کمبل3 استفاده از آزمایش بطری آبی را برای تدریس مبحث سینتیک پیشنهاد کرد. لارن و همکارانش نیز مرحله تعیینکننده در سرعت واکنش را بررسی کردند.

علاقهمندان برای بررسی ارتباط بیشتر این آزمایش با مبحث سنتیک، میتوانند منبع 2 را مطالعه کنند. هدف از آوردن این آزمایش در کتاب درسی، فقط جلب توجه دانشآموزان و ایجاد انگیزه است و نیازی به مطرح کردن جزئیات نیست.

 

  پینوشتها

1.Vourinen,T.

2.Laurens,A.

3.Campbell,J.

 

منابع

1. زهرا ارزانی، آزمایش بطری آبی، مجله رشد آموزش شیمی، 1378، شماره 56.

2. Laurens, A. et al. J. Chem. Educ., 2012, 89 (11), 1425.

3. Campbell, J. A. J. Chem. Educ. 1963, 40, 578.

4. Adamčíková, L.; Pavlíková, K.; Ševčík, P. Int. J. Chem. Kinet. 1999, 31, 463.

5. Vuorinen, T. Carbohydr. Res. 1983, 116, 61.

6. www.rsc.org/learn-chemistry/resource/res00000729/the-blue-bottle-experiment?cmpid=CMP00005928

7.eic.rsc.org/exhibition-chemistry/the-blue-bottle-reaction/2020070.article

8. /faculty.mansfield.edu/bganong/biochemistry/bluebott.htm

9.www.csun.edu/scied/2-chem/redox_methylene_blue/index.htm

۲۴۷۶۱
کلیدواژه (keyword): واکنش برگشت پذیر، متیلن بلو، واکنش شیمیایی، آموزش با آزمایش،آزمایش بطری آبی
نام را وارد کنید
ایمیل را وارد کنید
تعداد کاراکتر باقیمانده: 500
نظر خود را وارد کنید

۹۴ نفر
۳۲,۵۲۳,۶۰۶ نفر
۱,۱۹۸ نفر
۸,۲۷۹ نفر
۲۲,۴۶۸,۶۲۳ نفر