عکس رهبر جدید
۰
سبد خرید شما خالی است.

نکته هایی که باید به خاطر داشت: شرط برابری گشتاور نیرو و آهنگ تغییر تکانه زاویه ای

  فایلهای مرتبط
معلوم شده است که روش های حل دقیق و سریع بسیاری از مسائل اجسام صلب را می توان با در نظر گرفتن گشتاور نسبت به مرکز لحظه ای دوران به دست آورد.
1)

این مسئله را اولین بار کروفورد1 در امریکن جورنال آو فیزیکز2مطرح کرد[1] و بهدنبال آن بحثی که بهوسیله زیپ من[2]3، کاکسر [3و4] و وین استوک5 صورت گرفت[5]، این پرسش را مطرح کرد، که در چه شرایطی گشتاور نیرو نسبت به یک نقطه (مانند P) که بهطور لحظهای ساکن است، با آهنگ تغییر زمانی تکانه زاویهای مجاز برابر خواهد بود؟ پاسخ عمومی و درست را زیپمن و وین استوک دادهاند. یعنی دقیقاً همانطوری که برای یک نقطه که بهطور لحظهای ساکن نیست، باید یکی از سه شرط (الف، ب یا پ) زیر صادق باشد، گشتاور نیرو نیز با آهنگ تغییر تکانه زاویهای برابر خواهد بود، اگر و تنها اگر:

الف) نقطه P مرکز جرم دستگاه باشد.

ب) P دارای شتاب نباشد (نسبت به یک دستگاه مرجع لخت).

پ) شتاب نقطه P به طرف مرکز جرم یا در امتداد خارج آن باشد.

از شرط «پ» بسیار کم استفاده میشود زیرا وضعیتهایی که در آن شتاب دارای مشخصه‌‌های دلخواه (همان شرط پ) باشد به سادگی قابل تشخیص نیست. زیپمن در «مزایای آموزش خوب و درست، و روشنی اندیشه» [2] پیشنهاد می‌‌کند که از شرط «پ» استفاده نشود، در حالی که دسلوج6 عقیده دارد که «خواننده این حالت خاص را فراموش میکند و سادگیای که ممکن است با در نظر گرفتن این حالت بهدست آید بر خطاهای احتمالی میچربد» [6]. بی‌‌گمان عده زیادی از کسانی که با فیزیک کار دارند با دسلوج و زیپمن موافق هستند. به هر حال وقتی از نقطه P در حرکت صفحهای جسم صلب بر مرکز لحظهای دوران منطبق شود، فرمولبندی دیگری از شرط «پ» بهوجود میآید که کاربرد آن بسیار سادهتر میشود و بهطور اساسی خطر اشتباه در آن از بین میرود. این فرمولبندی از ارزش قابل توجهی برخوردار است.

وقتی شرط «پ» برای مرکز لحظهای بهکار رود همانند آن است که شرط سادهتر ثابت بودن فاصله مرکز لحظهای از مرکز جرم در طول مدت حرکت را در نظر گرفته باشیم[7]. مرکز لحظهای دوران بهعنوان نقطهای از جسم صلب تعریف شده است یا جسم صلب چنان گسترده شده است که در سکون لحظهای بهسر میبرد. در حالت کلی مکان این نقطه در جسم صلب، ثابت و معین نیست. برای حرکت یک جسم صلب در صفحه میتوان نشان داد که این نقطه همیشه وجود دارد (به جز در حرکت انتقالی محض) [8 و9]. همانطور که در بخش II ثابت خواهد شد، معادلهای که متضمن فرمولبندی دیگری از شرط «پ» باشد به دو حالت جالب دیگر میانجامد که شاید در آنها گشتاور نیرو با آهنگ تغییر زمانی تکانه زاویهای نسبت به مرکز لحظهای برابر باشد. در III و IV نشان داده میشود که این فرمولبندی غالباً با دقت و سرعت، به حل مسائلی میانجامد که شامل مسئله کروفورد و مسئله پیچیدهتری از چرخ برون مرکزی٭ (چرخی که مرکز جرمش بر مرکز هندسی آن واقع نباشد) است که به وسیله زیپمن طرح شده است.

 

II) گشتاور نیرو نسبت به مرکز لحظهای دوران

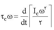
یک معادله عمومی و درست گشتاور نسبت به مرکز لحظهای دوران مربوط به حرکت صفحهای جسمِ صلب است که معمولاً برای فیزیکدانان ناشناخته و عبارت است از: نکته هایی که باید به خاطر داشت

در اینجا C نشانه مرکز لحظهای، c τ  و  Ic به ترتیب گشتاورِخارجی محض و لختی دورانی نسبت به محوری است که از مرکز لحظهای عمود بر صفحه حرکت میگذرد و ω سرعتِ زاویهای جسم صلب است. معادله (1) از مساوی قرار دادن آهنگ انجام کار روی جسمِ صلب و آهنگ تغییر انرژی جنبشی بهدست میآید. درستی این معادله ناشی از این واقعیت است که جسم در هر لحظه، در حرکتِ دورانی محض به دور نقطه C است. بنابراین انرژی جنبشی کل از معادله به‌‌دست میآید. دقیقاً مانند آن است که جسم به دور محور ثابت در دوران باشد. طرف چپ معادله (1) نیز بهدلیل مشابهی عبارت است از آهنگ انجام کار روی جسم توسط نیروهای خارجی. (و در اینجا نیز دقیقاً مانند این است که جسم بهدور یک محور ثابت دوران کند). با مشتقگیری و تقسیم دو طرف معادله به ω خواهیم داشت: نکته هایی که باید به خاطر داشت

که بهعنوان معادله عمومی دربرگیرنده گشتاورها نسبت به مرکز لحظهای دوران است [10]. در اینجا ω=α شتاب زاویهای جسم صلب است. معادله (2) بیدرنگ ما را به سه حالت زیر راهنمایی میکند که میتوان از معادله نکته هایی که باید به خاطر داشت

استفاده کرد:

 

1) Ic ثابت است. این در حالتی رخ میدهد که مرکز لحظهای دوران C در طول مدتِ حرکت، در فاصله ثابتی از مرکز جرم قرار بگیرد. همانطور که قبلاً گفته شد کاربرد این شرط خیلی سادهتر از کاربرد شرط «پ» است (که میگوید: شتاب نقطهای از جسم صلب که بهطور لحظهای بر نقطه  C منطبق است به طرف مرکز جرم یا در امتداد خارج آن است). برای مثال در مسئله آشنای میله یکنواخت، که به دیوار قائم و سطحی افقی تکیه دارد و دو انتهایش بر این سطحها میلغزند، چون فاصلههای مرکز لحظهای و مرکز جرم ثابت هستند، بنابراین درست خواهد بود. یقیناً این تساوی درست است زیرا شرط شتاب «ب» نیز در اینجا سازگار است که به هیچوجه  به سادگی دیده نمیشود. مثال دیگری که در آن ثابت بودن Ic کاملاً روشن باشد عبارت است از چرخ یکنواختی که بر هر سطحی بدون لغزش میغلتد.

2) شروع حرکتها: وقتی که جسم صلبی از حالت سکون شروع به حرکت کند همیشه میتوان شتاب α را از نکته هایی که باید به خاطر داشت به دست آورد.

3) در نوسانهای کوچک که شامل حالتی از تعادل پایدار یا حرکتِ یکنواخت باشد جمله نکته هایی که باید به خاطر داشت نسبت به ω از درجه دو خواهد بود و میتوان آن را نادیده گرفت.

 

III) مثالها

اگر چه هدف اصلی این مقاله مستلزم شرطهایی است که استفاده از معادله (3) را امکانپذیر میسازد، اما جالب است که نتیجه کلی- معادله (2)- را برای دو مورد زیر بهکار گیریم:

1. مسئله اصلی کروفورد

2. مثال زیپمن درباره چرخ برون مرکزی که بدون لغزش روی سطح افقی می‌‌غلتد.

1. در مسئله کروفورد [1] میله صلب و یکنواختی به جرم m و طول R2 است که یک سر آن در تماس با سطحِ افقی بدون اصطکاک است و از حالت سکون رها میشود، (شکل1) θ زاویه میله با راستای قائم است. در اینجا G مرکز جرم میله و P نقطه تماس آن با سطح است. از آنجا که G باید عمودی حرکت کند (G نخست ساکن است و هیچ نیروی افقیای وجود ندارد) و P باید در امتداد افقی حرکت کند، به سادگی میتوان نشان داد که نقطه C در (شکل یک) مرکز لحظهای دوران است [11]. از قضیه محورهای موازی داریم: نکته هایی که باید به خاطر داشت که نتیجه میدهد: نکته هایی که باید به خاطر داشت  چون نکته هایی که باید به خاطر داشت معادله (2) بیدرنگ به معادله زیر تبدیل میشود.

نکته هایی که باید به خاطر داشت

(4)

روشن است که این معادله با معادلههای کروفورد و زیپمن یکسان است. پس آشکار است که معادله (2) بیدرنگ به دستاوردی درست راه میبرد.

 

نکته هایی که باید به خاطر داشت

 

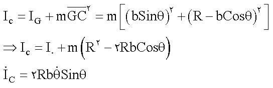
2. شکل 2، یک چرخ برون مرکزی به جرم ‌m و شعاع R را نشان میدهد که بر روی سطح افقی بدون لغزش، میغلتد. نقطه تماس C مرکز لحظه ای دوران چرخ است. همانطور که شکل نشان میدهد، مرکز جرم G به فاصله b از مرکز چرخ O  قرار دارد.

نکته هایی که باید به خاطر داشت

 

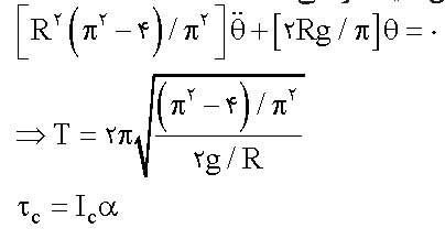
θ زاویه بین خط OG و خط قائم است. در اینجا جالب است که روشهای معمولی و عمومی را با معادله (2) مقایسه کنیم. با در نظر گرفتن گشتاورها نسبت به مرکز جرم و به کارگیری قانون دوم نیوتون برای حرکتِ مرکز جرم- که نخست باید نیروهای عمودی و مالشی را به حساب آوریم، سپس آنها را حذف کنیم- با انجام محاسبههای لازم معادله دیفرانسیلی برای θ، به شکل زیر به دست میآید:

نکته هایی که باید به خاطر داشت


ولی اگر گشتاورها را نسبت به مرکز لحظهای در نظر بگیریم و از معادله (2) استفاده کنیم بیدرنگ این نتیجه را به‌‌دست میآوریم. روشن است که:

 

نکته هایی که باید به خاطر داشت

 از معادله (2) همراه با نکته هایی که باید به خاطر داشت معادله (5) به سادگی به دست میآید.

 

IV) چند مثال دیگر

از آنجا که معادله (2) نتیجه ساده‌‌ای از قضیه کار - انرژی است، باید بتوانیم دستاوردهای بخش III را با استفاده از پایستگی انرژی به سادگی بهدست آوریم. با نوشتن T+V=E که E,V، T به ترتیب انرژی جنبشی، پتانسیل و کل است برای مسئله اول از بخش III داریم: نکته هایی که باید به خاطر داشت که با مشتقگیری نسبت به زمان و تقسیم دو طرف به °θ بار دیگر به معادله (4) که حل مسئله کروفورد است، میرسیم، به همین ترتیب برای معادله (2) داریم ( حل مسئله زیپمن): نکته هایی که باید به خاطر داشت

که با مشتقگیری نسبت به زمان و تقسیم دو طرفِ معادله به °θ بار دیگر به معادله (5) یعنی حل مسئله زیپمن  میرسیم. البته این راه و روش را میتوان برای هر دستگاه پایستاری بهکار برد. با این همه سادگی گاهی به کار بردن معادله (2)، یا معادله (3) در جایی که کاربرد دارد، سادهتر و راحتتر است. افزون بر این برای مسائلی که در آنها نیروهای ناپایستار کار انجام میدهند معادله (3) غالباً سریعترین روش برای به‌‌دست آوردن جواب است. گاهی این روش آگاهیهایی نیز برای ما فراهم میکند که نمیتوان با روشهای دیگر به آن رسید. مسائل زیر را در نظر بگیرید:

1. در شکل 3 نخی بهدور استوانه همگن به جرم m و شعاع R پیچیده شده و با نیروی کشش P استوانه را بیآنکه بلغزد وادار به غلتش روی سطح افقی میکند.

 

نکته هایی که باید به خاطر داشت

 

شتاب زاویهای α و شتاب مرکز جرم aG را پیدا کنید (فرض کنید سطح به اندازهای زبر و ناهموار است که از لغزش استوانه جلوگیری کند). گشتاورها را نسبت به مرکز لحظهای C در نظر میگیریم (C در فاصله ثابتی از مرکز جرم است بنابراین نقطه قابل اعتمادی است و خطر اشتباه وجود ندارد) حتی بدون اندیشیدن به جهت نیروی اصطکاک f میتوانیم α را بهدست آوریم:

نکته هایی که باید به خاطر داشت

 

اکنون به سادگی معلوم میشود که نیروی اصطکاک f باید بهطرف راست باشد و اندازهاش برابر با: نکته هایی که باید به خاطر داشت

 

2. شکل 4 (الف) قرقرهای همگن به جرم m را نشان میدهد که شعاع آن R و شعاع نخ پیچِ٭٭ آن r است. نخی روی قرقره پیچیده شده و با نیروی p قرقره را روی سطح افقی میکشد. اگر قرقره بدون لغزیدن بغلتد، شتاب زاویهای α را پیدا  کنید.

نکته هایی که باید به خاطر داشت

  

 

در حالی که قرقره میغلتد آیا نخ از روی آن باز میشود یا روی آن میپیچد؟ برای شکل 4 (ب) نیز به این پرسشها پاسخ دهید. این بار نیز گشتاورها را نسبت به مرکز لحظهای C در نظر میگیریم، نخ در حالت الف پیچیده میشود و در حالت ب باز میشود. شتاب زاویهای در حالت (الف) از نکته هایی که باید به خاطر داشت و در حالت (ب) از  نکته هایی که باید به خاطر داشت بهدست میآید.

 

3. نخ به دور قرقره میپیچد، اگر نیروی P افقی باشد (شکل 4 الف) باز می‌‌شود اگر نیرو عمودی باشد (شکل 4 ب) بنابراین باید یک زاویه تراگذر (انتقال) مانند θt وجود داشته باشد که در آن زاویه، قرقره حرکت تراگذری دارد. این زاویه را پیدا کنید.

این حالت برای یک زاویه دلخواه θ بین نخ و سطح افقی در شکل 5 نشان داده شده است. با گرفتن گشتاورها نسبت به مرکز لحظهای C بیدرنگ روشن خواهد شد که شتاب زاویهایα با معادله زیر داده میشود: نکته هایی که باید به خاطر داشت که نشان می‌‌دهد اگر نکته هایی که باید به خاطر داشت باشدα   پادساعتگرد است و نخ باز میشود. روشن است که زاویه تراگذر برابر با نکته هایی که باید به خاطر داشت است. این نتیجه در شکل پنج نمایان است که نشان میدهد برای tθ=θ گشتاور نسبت به C و شتاب زاویهای هر دو صفرند. با آنکه روشهای دیگری برای پرداختن به این مسئله وجود دارد ولی هیچ یک از آنها سادگی و سرعتِ روش حل که در اینجا استفاده شده است ندارد.

 

نکته هایی که باید به خاطر داشت

 

V) نوسانهای کوچک

از نتایج به‌‌دست آمده برای مسئلههای زیپمن و کروفورد در بخش III دیده میشود که مقدار اولیه ¨θ کاملاً معادله (3) داده میشود (این مقدار اولیه از معادلههای 4 و 5 با گذاشتن
θ° =θ بهدست میآید). پس اینها میتوانند بهعنوان مثالهایی باشند از کاربرد درست معادله (3) برای حرکتهایی که از سکون شروع میشوند (حالت 2 از بخش II). به هر حال، حالت 3 از بخش II (نوسانهای کوچک) نیز به اندازهای جالب و مفید است که یک مثال برای آن میآوریم. پوسته همگن نیمه استوانهای به جرم m و شعاع R را در نظر بگیرید. اگر این پوسته را از طرف خمیده روی سطح بدونِ اصطکاک قرار دهیم و کمی آن را از حالت تعادل خود جابهجا و رها کنیم دوره تناوب یک نوسان کوچک آن چقدر خواهد بود.

شکل 6 پوسته را در لحظه‌‌ای از حرکت نشان میدهد که شعاعی که از مرکز جرم ‌G میگذرد با امتداد قائم زاویه θ میسازد. از آنجا که G باید در امتداد قائم حرکت کند و نقطه تماس P در امتداد افقی، نقطه C مرکز لحظهای خواهد بود [11]. فاصله d بین دو نقطه O و G به سادگی بهدست میآید و برابر 2R/π است. از قضیه محورهای موازی داریم:

 

چون برابری (3) این نتیجه را میدهد که:

نکته هایی که باید به خاطر داشت

 


نکته هایی که باید به خاطر داشت

 

شکل 7 مرکز جرم و مرکز لحظهای دوران یک جسم صلب را در لحظه t نشان میدهد. چون G  در لحظه t به دور نقطه C میچرخد، سرعت آن نکته هایی که باید به خاطر داشت در t همانگونه که شکل نشان میدهد باید عمود بر GC باشد. همچنین چون فاصله GC در اینجا ثابت فرض شده است سرعت نقطه C نسبت به G نمیتواند مؤلفهای در امتداد GC داشته باشد. بنابراین سرعت  نیز باید مانند شکل باشد. (در اینجا توجه به این نکته مهم است: در حالیکه سرعت نقاطی از جسم که بهطور لحظهای بر C منطبق میشوند صفر است این امر برای خود نقطه C درست نیست. مرکز لحظهای C نه به جسم چسبیده و نه در فضا ثابت نگه داشته شده است. این نقطه کاملاً مسیر خود را میپیماید).

 

مکان مرکز لحظهای بعد از گذشت زمان بسیار کوچک با  ,C مشخص شده است. جابهجایی ,CC باید عمود برخط GC باشد. نقطه P از جسم صلب که در زمان t بر نقطه C منطبق است در زمان  نیز بر نقطه C منطبق است زیرا این نقطه در زمان t دارای سرعتِ صفر است. ولی در  نقطه p (همراه با بقیه جسم صلب) بهدور ,C میچرخد پس این نقطه سرعتی عمود بر خط ,CC  دارد (در نقطهای از جسم مثلاً Q وجود دارد که بهطور لحظهای ساکن است و بنابراین بر ,C منطبق می‌‌شود). در نتیجه شتاب نقطه P در زمان t باید در راستای GC باشد و این نشان میدهد که اگر فاصله مرکز لحظهای از مرکز جرم در طول حرکت ثابت بماند، شتاب نقطهای از جسم که در یک لحظه در جای مرکز لحظهای است، باید همانگونه که ثابت شد، خطی باشد که آن را به مرکز جرم وصل کند [12].

نکته هایی که باید به خاطر داشت

 

VI) نتیجه گیری

شایسته است که با تکرار و تأکید خود بر عدم توافق با زیپمن و دسلوج در مورد سادگی حاصل از نادیده گرفتن شرط «پ» نتیجهگیری کنیم. مرکز لحظهای دوران، همانگونه که در این مقاله بحث شد، حالت ویژهای از شرط ویژه دسلوج یعنی شرط «پ» است و ما نشان دادیم که با در نظر گرفتن گشتاورها نسبت به مرکز لحظهای، میتوان بسیاری از مسائل را به سادگی حل کرد. همچنین نشان دادیم که مسائلی وجود دارند که روش ارائه شده در این مقاله دید روشنی از آنها دارد که در روشهای معمول این بینش و نگرش وجود ندارد. افزون بر این، شرطی را میتوان برای مرکز لحظهای قرار داد تا معادله نکته هایی که باید به خاطر داشت به سادگی برقرار گردد. (برخلاف فرمولبندی معمولِ شرط «پ») و بیگمان احتمال اشتباه در آن وجود ندارد. گشتاورها نسبت به مرکز لحظهای، یک فرصت هستند، فرصت را از دست ندهید و آن را غنیمت شمارید!

 

 

پی نوشت ها

٭ Eccentric wheel

٭٭ نخ پیچ قرقره (قسمتی از قرقره که نخ روی آن پیچیده میشود). peg

1. Craw ford

2. American journal of physics

3. Zypman

4. Kacser

5. Wein stock

6. Desloge

 

 

 منابع

1.‌Frank S. Crawford, "Moments to remember." Am. J. Phys. 57, 105, 177(1989).

2.Fredy R. Zypman, "Moments to remember- The condition for equating torque and rate of change of angular momentum." Am.J. Phys. 58,41,43(1990).

3. Claude Kacser, "Are deliberate mistakes a valid teaching tool?" Am.J. Phys. 57,583 (1989).

4.Claude Kacser, "About which moving or accelerating points may dynamical moments validly be taken?- Errors unintentional." Am. J. Phys. 57, 1063(1989).

5. Robert Weinstock, "Errors intentional and otherwise." Am. J. Phys. 57,1063 (1989).

6. Edward A. Desloge. Classical Mechanics (wiley, New York. 1982), p 230.

7. اثبات مختصری از این حکم در پیوست آمده است. اثباتی هم ارز در کتاب زیر داده شده است:

William F.Osgood. Mechanics (Macmillan, New York. 1949), pp.164, 207.

8. See for example, Robert A. Becker, Introduction to Theoretical Mechanics (McGraw- Hill, New York. 1954), pp. 194- 195. John L. Synge and Byron A. Griffith, Principles of Mechanics (McGraw- Hill, New York. 1949), pp.122-124.

 9. برای بعضی از روشهای جالبِ دیداری کردن (به روش تصویربرداری) مرکز لحظهای دوران چرخی که بدون لغزیدن در حال حرکت است مرجع زیر را ببینید:

P.L.Tea, Jr., "On seeing instantaneous centers of velocity." Am. J. Phys. 58, 495-497 (1099).

10. See for example, A.S. Ramsey, Dynamics, Part I (Cambridge U.P., Cambridge, England, 1959),2nd ed., p.240; Brian H. Engineers and Scientists, Volume 3, Theoretical Mechanics (Pergamon, New York, 1963), pp.278-280.

11. از آنجا که جسم در هر لحظه در حال حرکت دورانی بهدور مرکز لحظهای است روشن است که سرعت هر نقطه از جسم باید بر خط و اصل آن نقطه به مرکز لحظهای عمود باشد. اگر جهت سرعتهای دو نقطه در یک لحظه معین t معلوم باشد (سرعتها موازی نیستند)، مرکز لحظهای در لحظه t نقطه اشتراک دو خطی است که از آن نقاط عمود بر سرعتها رسم شود.

12. اینجانب مدیون پروفسور Harry Soodak بهخاطر ارائه این اثبات ساده هستم. ‌‌

۴۲۹۶
کلیدواژه (keyword): گشتاور,جسم صلب,آهنگ تغییر تکانه زاویه ای,
نام را وارد کنید
ایمیل را وارد کنید
تعداد کاراکتر باقیمانده: 500
نظر خود را وارد کنید

۱۵۶ نفر
۳۲,۱۹۸,۰۵۴ نفر
۱۲,۸۴۴ نفر
۲۰,۸۶۱ نفر
۲۲,۱۷۵,۰۹۵ نفر