عکس رهبر جدید
۰
سبد خرید شما خالی است.

پنبه ‌دانه: فراورده‌‌ ای با خواص دوگانه

  فایلهای مرتبط
پنبه ‌دانه: فراورده‌‌ ای با خواص دوگانه
با توجه به رشد جمعیت و افزایش تقاضا برای مواد غذایی و گران بودن پروتئین های جانوری، استفاده از فراورده های فرعی منابع گیاهی مورد توجه قرار گرفته که پنبه دانه از آن جمله است. پنبه دانه ۲۶ درصد چربی و کنجاله حاصل از فرایند روغنکشی آن، ۴۵ درصد پروتئین دارد اما مشکل مهم پنبه دانه وجود ترکیبی سمی به نام گاسیپول در مغز آن است.
 مقدمه
 گاسیپول۱ ترکیبی زرد رنگ و سمی است که در اندام‌های مختلف گیاه پنبه از جمله پوست، ریشه، برگ، گل و به‌ویژه در غده‌های رنگدانه‌ای پنبه‌دانه وجود دارد و ۲۰ تا ۴۰ درصد وزن غده را شامل می‌شود. این ماده وظیفه محافظت دانه‌ها از آفت‌هایی مانند حشرات و بیماری‌ها را به عهده دارد.

گاسیپول به دو شکل آزاد و ترکیبی وجود دارد:
ـ نوع آزاد آن در دانه سالم و دست‌نخورده وجود دارد که در محلول استون در آب با غلظت ۷۰ درصد حل می‌شود، فعالیت زیست‌شناختی بالایی دارد و مقدار زیاد آن برای تک‌معده‌ای‌ها سمی است.
ـ گرم شدن پنبه‌دانه سبب واکنش گاسیپول با گروه‌های آمین پروتئین‌ها و پپتید‌های موجود در آن و تشکیل نوع ترکیبی گاسیپول می‌شود. گاسیپول ترکیبی در محلول آبی کلروفرم و استون نامحلول است و فعالیت زیست‌شناختی ندارد.

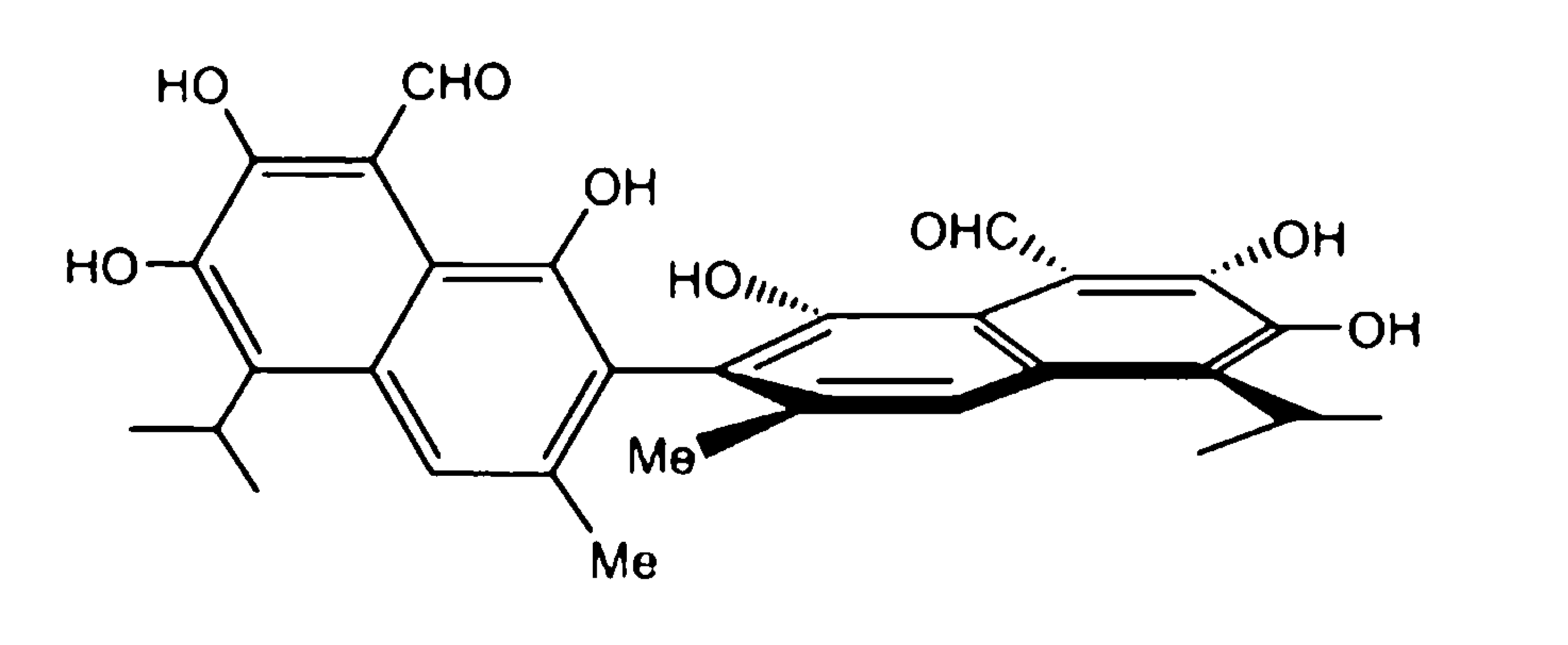
ساختار
گاسیپول با فرمول مولکولی C۳۰H۳۰O۸، ترکیبی پلی‌فنولی است. در ساختار این ترکیب دو حلقه نفتالن وجود دارد که با یک پیوند به هم متصل هستند.

پنبه ‌دانه: فراورده‌‌ ای با خواص دوگانه

شش گروه هیدروکسیل (OH) و دو گروه آلدهیدی (CHO) در یک سمت این نفتالن دیمر شده قرار دارند و بخش آبدوست این مولکول را تشکیل میدهد. در سمت دیگر که گروههای آلکیلی (متیل و ایزوپروپیل) قرار دارند بخش چربیدوست این مولکول قرار دارد.

نام گاسیپول برای این ترکیب، از نام گیاهی ویژه۲ گرفته شده است که به مقدار زیاد در آن وجود دارد.

این مولکول به دلیل داشتن گروههای هیدروکسیل توانایی تشکیل پیوند هیدروژنی را دارد. در نتیجه از نقطه ذوب و جوش بالایی برخوردار است بهطوری که در دمای حدودC ˚182 ذوب میشود و در دمای حدود C˚700 به جوش میآید. این ترکیب میتواند پیوند هیدروژنی درونمولکولی نیز تشکیل دهد.

 

اندام های هدف گاسیپول

این ماده سمی روی قلب، کبد، دستگاه تناسلی، شیردان (دام) و کلیهها اثر میگذارد اما اثرهای اولیه آن روی قلب و کبد دیده میشود. در زمان تولیدمثل از بلوغ سلولها جلوگیری میکند. چنانچه جنینی در خونی که دارای ۵ تا ۱۰ گرم گاسیپول در هر میلیلیتر است پرورش یابد، رشد و نمو آن مختل میشود. همچنین باعث بالا رفتن فشار اسمزی گلبولهای قرمز خون و در نتیجه ترکیدگی و مرگ آنها میشود. شایعترین اثر سمی این ماده به شکل بینظمی و اختلال ضربان قلب دیده میشود که ناشی از آزاد نشدن اکسیژن از اکسیمیوگلوبین است و به مرگ جانوران میانجامد. البته در نشخوارکنندگان مانند گاوهای شیرده و گوسفند، گاسیپول آزاد موجود در شکمبه، به پروتئین متصل است در نتیجه سمیت آن خنثی میشود و مشکلی به وجود نمیآورد.

پنبه ‌دانه: فراورده‌‌ ای با خواص دوگانه

پنبه ‌دانه: فراورده‌‌ ای با خواص دوگانه

 

اهمیت گاسیپول

از آنجا که در ساختار گاسیپول، پیوند بین دو گروه نفتالن میتواند چرخش کند، خواص زیستشناختی متفاوتی را به گاسیپول میدهد. این ترکیب و مشتقات آن به دلیل خواص ضدویروسی، ضدسرطان، پاداکسندگی، ضدانگل، ضدمیکروبی، ضدمالاریایی و ضدباروری در مردان مورد بررسیهای زیادی قرار گرفتهاند. هم‌اکنون تولید سالانه این ترکیب‌ها به ۴۰۰۰ تن در ایالات متحده می‌رسد اگرچه تنها ۴ تا ۷ درصد این مقدار را هسته پنبه‌دانه تشکیل می‌دهد.

 

اکسایش گاسیپول

حساس بودن شدید گاسیپول به اکسایش، شرایط را برای تولید روغن پنبهدانه نامطلوب میکند چرا که اغلب در اثر اکسایش، فراوردهای پررنگتر از گاسیپول تشکیل میشود. شیمیدانی به نام کلارک، واکنشگرهای اکسنده ملایمتری ارائه داد تا گاسیپول به اجزای دیگری کاهش یابد.

 

نتیجه‌ گیری

گاسیپول به مدت بیش از صد سال است که مورد بررسی قرار گرفته است. دوگانگی موجود در سمی بودن آن برای انسان و جانوران و نیز فعالیتهای زیستشناختی منحصربهفرد آن بهعنوان عامل ضدبیماری، ضد سرطان و حفظ گیاه از آفتها، گاسیپول را در موقعیتی غیرعادی قرار داده است. از یکسو پژوهشگران به شدت تلاش میکنند تا فراوردههای پنبهای با کیفیت بالا و بدون سمیت تولید کنند و از سویی دیگر از ساختار، گروههای عاملی و فعالیتهای زیستشناختی منحصربه‌‌فرد گاسیپول استفاده میکنند که آن را فراوردهای طبیعی با ارزش افزوده شده جلوه دهند.

پی نوشت ها

1.gossypol    2.gossypium



منابع

1- Withers, W.A.; Carruth,F.E., Science ,1915,41,324.
2- Marchlewski, L., J. Prakt. Chem. 1899,60,84.
3- Wu, Y.-W.; Chik,C.L. ; Knazek,R.A. Cancer Res.1989, 49,375.
4- Tuszynski, G.P.; Cossu, G. Cancer Res.1984, 44,768.
5- Polsky, B.; Segal, S.J.; Baron,P.A.; Gold,J.W.M.; Ueno, H.; Armstrong,D. Contraception ,1989,39,579.

۱۰۴۳۵
کلیدواژه (keyword): پنبه ‌دانه,فراورده‌‌ ای با خواص دوگانه,احسان روستایی,گاسیپول,پیوند هیدروژنی,پروتئین,فعالیت زیست شناختی,
نام را وارد کنید
ایمیل را وارد کنید
تعداد کاراکتر باقیمانده: 500
نظر خود را وارد کنید

۱۵۷ نفر
۳۲,۵۲۵,۲۵۳ نفر
۲,۸۴۵ نفر
۸,۲۷۹ نفر
۲۲,۴۷۰,۰۹۶ نفر